나이아신아마이드 – 최근 피부 미용에 대한 관심이 높아지면서 다양한 화장품 성분들이 주목받고 있습니다. 그중에서도 나이아신아마이드는 미백, 모공 축소, 피부 장벽 강화 등 다양한 효능을 인정받으며 많은 사람들에게 사랑받는 성분입니다.
나이아신아마이드는 비타민 B3의 일종으로, 피부 속 깊숙이 작용하여 피부 문제를 개선하는 데 도움을 줍니다. 이 글에서는 나이아신아마이드의 효능, 작용 원리, 그리고 어떤 피부 타입에 적합한지 집에서 편하게 온라인으로 조회해보는 건 무료입니다. 나중으로 미루지 마시고, 지금 당장 조회해보시기 바랍니다.

나이아신아마이드, 당신의 피부 고민을 해결해 드립니다!
칙칙하고 생기 없는 피부, 늘어만 가는 모공, 거칠고 건조한 피부 때문에 고민이신가요? 아무리 좋은 화장품을 발라도 개선되지 않는 피부 트러블에 지쳐있나요? 이는 단순히 피부 관리 부족이 아니라, 피부 속부터 건강을 잃어버렸기 때문일 수 있습니다.
저 또한 몇 년 전까지만 해도 피부 트러블로 인해 많은 고민을 했었습니다. 밤낮없이 거울을 보며 늘어나는 잡티와 붉어진 피부를 보며 자신감을 잃었죠. 하지만 우연히 만난 나이아신아마이드 성분의 제품을 사용하고부터 피부가 놀랍게 변화하는 것을 경험했습니다.
나이아신아마이드는 피부 장벽 강화, 미백, 항산화 작용 등 다양한 효능을 가진 만능 성분입니다. 피부 속 수분을 채워주고 콜라겐 생성을 촉진하여 탄력 있는 피부를 만들어줍니다. 또한, 과도한 피지를 조절하고 모공을 축소시켜 매끈한 피부결을 선사합니다.
나이아신아마이드가 함유된 제품으로 건강하고 아름다운 피부를 되찾으세요.
나이아신아마이드가 당신의 피부가 다시 빛날 수 있도록 도와줄 수 있습니다.
칙칙하고 생기 없는 피부 때문에 더 이상 스트레스 받지 마세요.
나이아신아마이드가 함유된 제품을 사용하시고 아름다워지세요!
나이아신아마이드란 무엇일까요?
나이아신아마이드는 비타민 B3의 일종으로, 피부 건강에 다양한 효능을 가지고 있어 화장품에 널리 사용되는 성분입니다. 특히 미백, 모공 축소, 피부 장벽 강화 등에 탁월한 효과를 보여 많은 사람들에게 사랑받고 있습니다.
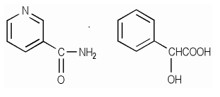
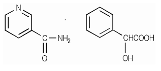
나이아신아마이드의 구조
나이아신아마이드는 비교적 간단한 구조를 가진 유기 화합물입니다. 벤젠 고리에 아미드기와 피리딘 고리가 결합된 형태로, 이러한 구조 덕분에 다양한 생물학적 활성을 나타냅니다.

나이아신아마이드의 주요 효능
- 피부 장벽 강화: 피부의 보습력을 높여 건조함을 완화하고 외부 자극으로부터 피부를 보호합니다.
- 미백 효과: 멜라닌 생성을 억제하여 잡티와 색소 침착을 개선하고 밝고 투명한 피부를 만드는 데 도움을 줍니다.
- 모공 축소: 과도한 피지를 조절하고 모공을 수렴하여 피부결을 매끈하게 만들어줍니다.
- 항염 작용: 붉어진 피부를 진정시키고 여드름과 같은 염증성 피부 질환을 완화하는 데 효과적입니다.
- 콜라겐 생성 촉진: 피부 탄력을 증가시키고 주름 개선에 도움을 줍니다.
나이아신아마이드가 좋은 이유
- 다양한 피부 타입에 적합: 지성, 건성, 민감성 등 모든 피부 타입에 사용할 수 있을 만큼 순한 성분입니다.
- 다른 성분과의 조합이 용이: 다른 활성 성분들과 함께 사용하여 시너지 효과를 얻을 수 있습니다.
- 안정적인 성분: 열과 빛에 강해 제형이 변질될 염려가 적습니다.
나이아신아마이드를 함유한 제품 선택 시 주의사항
- 함량: 일반적으로 2~5% 함량이 효과적이지만, 민감한 피부라면 저함량 제품부터 시작하는 것이 좋습니다.
- 첨가된 성분: 나이아신아마이드 외에 어떤 성분이 함유되어 있는지 확인하고, 자신의 피부 타입에 맞는 제품을 선택하세요.
- 제형: 세럼, 크림, 로션 등 다양한 제형의 제품이 있으므로 자신의 피부 타입과 선호하는 제형을 고려하여 선택하세요.
나이아신아마이드와 비타민 C
나이아신아마이드와 비타민 C는 피부 미백과 항산화에 탁월한 효과를 보이는 성분으로, 많은 사람들에게 사랑받고 있습니다. 두 성분을 함께 사용하면 시너지 효과를 얻어 더욱 밝고 건강한 피부를 가꿀 수 있습니다.
각 성분의 역할
- 나이아신아마이드:
- 멜라닌 생성을 억제하여 피부를 밝게 해주고, 모공을 축소시켜 매끈한 피부를 만듭니다.
- 피부 장벽을 강화하여 수분 손실을 막고, 외부 자극으로부터 피부를 보호합니다.
-
- 비타민 C:강력한 항산화 작용으로 활성산소를 제거하고, 콜라겐 생성을 촉진하여 피부 탄력을 개선합니다.
- 멜라닌 생성을 억제하여 기미, 주근깨 등 색소 침착을 완화합니다.
- 멜라닌 생성을 억제하여 기미, 주근깨 등 색소 침착을 완화합니다.
함께 사용하면 좋은 이유
- 시너지 효과: 두 성분은 서로의 효능을 증폭시켜 더욱 뛰어난 효과를 발휘합니다.
- 미백 효과: 나이아신아마이드가 멜라닌 생성을 억제하고, 비타민 C가 기존의 멜라닌을 분해하여 더욱 빠른 미백 효과를 기대할 수 있습니다.
- 항산화 효과: 두 성분 모두 강력한 항산화 작용을 하여 피부 노화를 방지하고, 외부 자극으로부터 피부를 보호합니다.
- 피부 장벽 강화: 나이아신아마이드가 피부 장벽을 강화하고, 비타민 C가 콜라겐 생성을 촉진하여 더욱 건강한 피부를 만들 수 있습니다.
함께 사용할 때 주의할 점
- 순서: 비타민 C가 산성 성분이므로 먼저 바르고, 그 다음 나이아신아마이드를 바르는 것이 좋습니다.
- 농도: 고농도의 제품을 처음부터 사용하기보다는 저농도 제품부터 시작하여 피부에 자극이 없는지 확인하는 것이 좋습니다.
- 피부 상태: 민감한 피부라면 두 성분을 번갈아 가며 사용하거나, 저자극 제품을 선택하는 것이 좋습니다.
제품 선택 시 고려 사항
- 함유량: 나이아신아마이드는 2~5%, 비타민 C는 10~20% 함량이 일반적입니다.
- 제형: 세럼, 크림, 로션 등 다양한 제형이 있으므로 자신의 피부 타입과 선호하는 제형을 선택하세요.
- 추가 성분: 다른 유효 성분과 함께 함유된 제품을 선택하여 더욱 다양한 효과를 얻을 수 있습니다.
나이아신아마이드와 비타민 C는 함께 사용하면 더욱 극대화된 효과를 얻을 수 있는 환상의 콤비입니다. 꾸준히 사용하여 밝고 건강한 피부를 만들어 보세요.
주의: 개인의 피부 상태에 따라 효과가 다를 수 있으므로, 새로운 화장품을 사용하기 전에 패치 테스트를 해보는 것이 좋습니다.
결론
나이아신아마이드는 피부 건강을 위한 필수 성분 중 하나입니다. 다양한 효능을 가진 나이아신아마이드를 활용하여 건강하고 아름다운 피부를 가꾸시길 바랍니다.
FAQ (자주묻는질문)
질문1. 나이아신아마이드를 처음 사용하는데, 어떤 제품을 선택해야 할까요?
답변1. 나이아신아마이드를 처음 사용하시는 분이라면 저자극 제품을 선택하는 것이 좋습니다. 특히 민감성 피부라면 더욱 신중하게 고르셔야 합니다.
- 저자극 성분 함유: 나이아신아마이드 외에 다른 자극적인 성분이 최소화된 제품을 선택하세요.
- 순한 제형: 세럼보다는 로션이나 크림처럼 촉촉하고 부드러운 제형이 피부 자극을 줄일 수 있습니다.
- 저함량: 처음에는 낮은 함량의 제품부터 시작하여 피부에 적응시키는 것이 좋습니다.
추천 제품: 코스메틱 브랜드의 저자극 라인이나 약국 화장품을 살펴보는 것을 추천합니다. 제품 구매 전에는 성분표를 꼼꼼히 확인하고, 다른 사용자들의 후기를 참고하는 것도 좋은 방법입니다.
질문2. 나이아신아마이드와 레티놀을 함께 사용해도 될까요?
답변2. 나이아신아마이드와 레티놀은 모두 피부에 좋은 성분이지만, 함께 사용할 때는 주의가 필요합니다.
- 피부 자극 가능성: 두 성분 모두 피부에 자극을 줄 수 있는 성분이므로, 처음부터 함께 사용하기보다는 각각 따로 사용해보고 피부 반응을 살펴보는 것이 좋습니다.
- 사용 순서: 레티놀은 일반적으로 밤에 사용하고, 나이아신아마이드는 아침에 사용하는 것이 좋습니다. 하지만 제품에 따라 사용 순서가 다를 수 있으므로, 제품 설명을 꼼꼼히 확인하세요.
- 피부 상태: 민감한 피부라면 두 성분을 번갈아 가며 사용하거나, 저자극 제품을 선택하는 것이 좋습니다.
함께 사용 시 주의사항:
- 처음에는 낮은 농도의 제품부터 시작하여 피부에 적응시키는 것이 좋습니다.
- 충분한 수분 공급이 중요합니다.
- 자외선 차단제를 꼼꼼히 발라주세요.
질문3. 나이아신아마이드는 어떤 피부 타입에 효과적일까요?
답변3. 나이아신아마이드는 대부분의 피부 타입에 효과적이지만, 특히 다음과 같은 피부 고민을 가진 분들에게 좋습니다.
- 모공이 넓은 피부: 모공 축소에 도움을 줍니다.
- 피부 톤이 균일하지 않은 피부: 미백 효과가 있어 밝고 균일한 피부톤을 만드는 데 도움을 줍니다.
- 트러블이 자주 나는 피부: 피부 진정 효과가 있어 트러블 완화에 도움을 줍니다.
- 건조한 피부: 피부 장벽을 강화하여 수분 손실을 막아줍니다.
하지만 모든 사람에게 효과가 나타나는 것은 아니므로, 개인의 피부 상태에 따라 차이가 있을 수 있습니다.
주의: 임산부나 수유부는 사용 전에 전문가와 상담하는 것이 좋습니다.
함께 보면 좋은 글
비타민B의 효능
비타민B의 효능 : 매일 아침 눈을 뜨는 것이 버겁고, 하루 종일 피곤함이 가시지 않는다면 주목해 주세요. 혹시 비타민B가 부족한 것은 아닐까요? 비타민B는 우리 몸의 에너지 생성에 필수적인 영









'생활정보' 카테고리의 다른 글
| 아연 풍부한 음식 (0) | 2025.01.24 |
|---|---|
| 셀레늄이 풍부한 음식 (0) | 2025.01.23 |
| 탈모에 좋은 음식 (0) | 2025.01.22 |
| 알로에 키우기(알로에 번식시키기) (0) | 2025.01.21 |
| 담낭염에 좋은 음식 (0) | 2025.01.13 |
| 지리산 등산코스(쉬운코스) (0) | 2025.01.09 |
| 자연휴양림 예약정보시스템 (0) | 2025.01.08 |
| 지리산 국립공원 홈페이지 (0) | 2025.01.07 |
